Copd Exacerbation Icd 10

Copd exazerbation icd 10, copd exazerbation icd 10, copd exazerbation therapie, copd exazerbation amboss, copd exazerbation leitlinien, copd exazerbation ursachen, copd exazerbation icd 10, copd exazerbation antibiotika, copd exazerbation symptome, copd exazerbationen, copd exazerbation auslöser, copd exazerbation regeneration, copd exazerbationen eclipse,


Icd-10 Orientation In Post Acute Care (part Iii) - Ppt via slideplayer.com
ICD-10 Orientation In Post Acute Care (Part III) - ppt

Coding Of Pneumonia With Copd - Pinson And Tang via pinsonandtang.com
Coding of Pneumonia with COPD - Pinson and Tang

Anemia In Copd: A Systematic Review Of The Prevalence via rc.rcjournal.com
Anemia in COPD: A Systematic Review of the Prevalence

Pseudomonas Aeruginosa Pneumonia Icd 10 - Carpet Vidalondon via carpet.vidalondon.net
Pseudomonas Aeruginosa Pneumonia Icd 10 - Carpet Vidalondon

Case Study 42 Managing Copd Exacerbations via ritamzona.hr
Case study 42 managing copd exacerbations

Medical Profession's Use Of Mind Mapping - Wikit via www.informationtamers.com
Medical profession's use of mind mapping - WikIT

Mind Maps (2015) via www.slideshare.net
Mind maps (2015)

Compiled And Presented For Tahima Meeting On 16 April Ppt via slideplayer.com
Compiled and Presented for TAHIMA Meeting on 16 April ppt

Icd-10 Training. - Ppt Download via slideplayer.com
ICD-10 Training. - ppt download

Anesthesiology And Other Common Documentation Tips Icd 10 via slideplayer.com
ANESTHESIOLOGY and Other Common Documentation Tips ICD 10

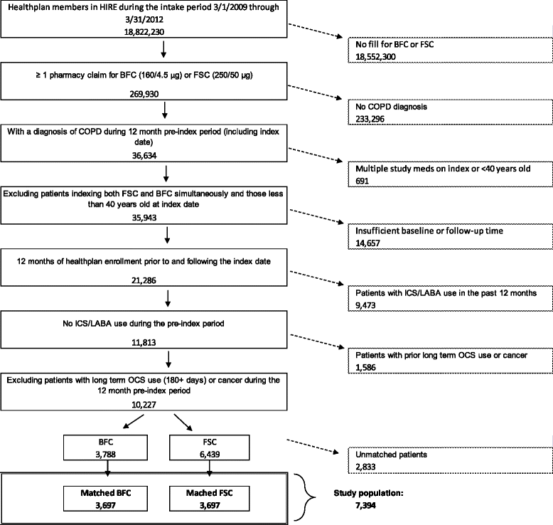
Comparative Effectiveness Of Budesonide/formoterol via respiratory-research.biomedcentral.com
Comparative effectiveness of budesonide/formoterol

Fillable Online Dhs-3642-eng (emergency Medical Assistance via www.pdffiller.com
Fillable Online DHS-3642-ENG (Emergency Medical Assistance


Random Image



Related Posts To Copd Exacerbation Icd 10


Copd Exacerbation Icd 10 Rating: 4.5 Posted by: nashagax

Search Here

Popular Posts

Total Pageviews

Recent Posts

Partners